This study examined the response to injury in both sciatic nerves (SN) and dorsal root ganglia (DRG). The nerves were observed after injury, and data were collected at 0, 1, 4, 7, and 14 days. The analysis focused on understanding how neuronal and peripheral tissues respond and heal over time.
Findings


To ensure the data were properly analyzed, mean–difference (MD) plots and QQ plots (Fig. 1A–B), were used. The results confirmed that the data were normalized and statistically significant.
Early response (Day 1)
The data shows that at the 1day (1D) timepoint after injury, the DRG nerves were upregulated to a much higher degree than the SN. The heatmaps and volcano plots above (Fig. 2A-D) make the trend evident for the type of nerve respectively. This indicates that DRG neurons are more rapidly deployed to repair damage. SN shows opposite activity and would suggest that the local response and repair mechanisms have not yet activated to provide much healing to the damaged nerves.




Intermediate response (Days 4–7)




Moving to the 4-day (4D) time point, activation patterns begin to shift. SN have begun to activate the signaling pathway. This marks the transition to more localized tissue remodeling and less of the early neuronal response seen that the 1D timepoint.
At 7 days (7D), there is an inverse of the trend that was first displayed. SN have exhibited a higher response and the DRG were less upregulated. From this we see that the DRG are much likely to signal strongly when recently injured while SN will have a much slower time to activation which indicate that a different pathway activates the healing response. The SN have become the prominent site of healing and have activated immune and repair pathways to promote regeneration and the DRG have returned to a steady state. Volcano plots and heatmaps for 7 days (Fig. 3A–D) show these shifts from neuronal to immune activation.
Late response (Day 14)


Looking at the data from the late response 14-days (14D) SN continue to show immune response, indicating sustained activation of inflammatory and regenerative signaling (Fig. 4A–B).
DRG are displaying results very close to baseline levels. Most neuronal activation is likely to have ended.
It is shown from these data that DRG response is early and fast, ending quickly. SN response is delayed in response but upregulates for a longer amount of time.
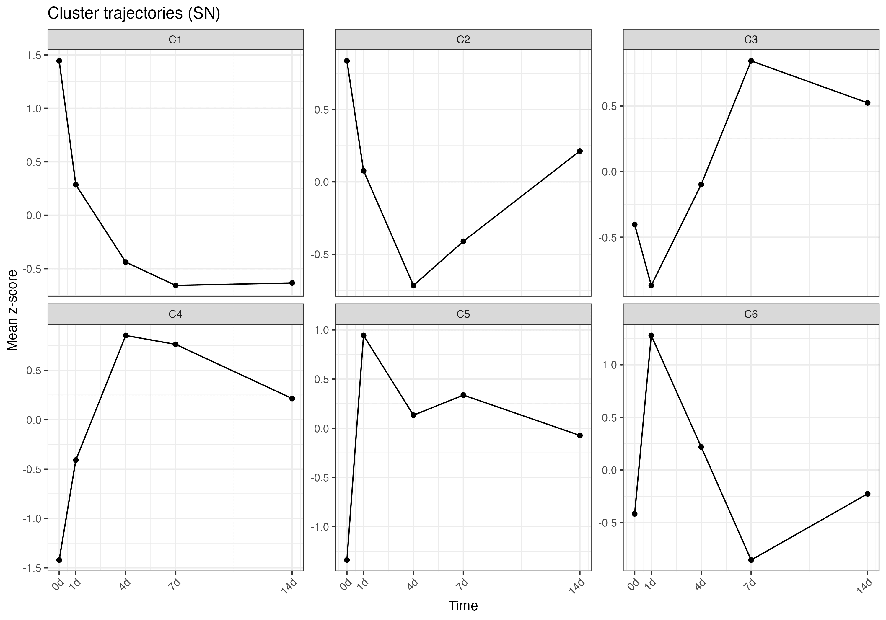
Clustering and Pathway Enrichment



Genes were grouped into clusters which allowed the trajectories to be visualized during the healing process. Looking at Clusters 4 and 5 above (Fig. 5A-C) there is a strong upregulation in days 7-14 with cytokine-cytokine receptors pathways being the strongest.
Conclusion
Peripheral nerves are healed via two separate pathways. The first being early neuronal activation that primarily is seen within DRG at the early timepoints such as 1D. The secondary pathway seems to initiate a few days later having displayed at the 4D timepoint. The latter showcasing cytokine-driven immune and regenerative activity.